Jake Dunn and Dr Claude Warnick from the Pure Mathematics group at Imperial College, London tell us all about their research using the Klein-Gordon equation to study black holes.

Jake Dunn is a PhD student at Imperial College, London.
Claude Warnick is a Lecturer in Pure Mathematics at Imperial College, London.
There is a long standing conjecture in the theory of general relativity that the final state of the gravitational collapse of a star should be a stationary black hole modelled by the Kerr solution. To this date there remains no mathematical proof of this statement, and it seems that we may have to wait a while before this result can be established. Even the simpler problem of black hole stability is a considerable mathematical challenge.
We may think of a stationary black hole as a solution of the Einstein vacuum equations:
evolving from some particular initial data set:
Some natural questions that one may ask is whether solutions evolving from initial data ‘close’ to that of the black hole have the same qualitative properties, at least outside the black hole horizon? Do such solutions approach the original solution at late times? More succinctly, are these solutions stable?
The analysis of the stability problem for the Kerr black hole is complicated by three phenomena: the presence of a black hole horizon, an ergoregion, and trapped null geodesics. In our recent paper, we considered the stability problem for a different black hole solution, the toric Schwarzschild anti-de Sitter black hole. These black holes exist for all Λ < 0 and have the curious property of having a toroidal horizon. Unlike Kerr, these black hole do not contain an erogoregion, nor trapped null geodesics. As a result, one may hope that the stability of these space times should be considerably easier to establish.
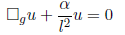
Rather than directly tackling Einstein’s equations, we consider a ‘poor man’s’ linearisation of the problem, the Klein-Gordon equation on a fixed toric Schwarzschild AdS background.
To study this equation we make use of energy estimates based on suitable renormalised energies. The first result of our paper shows that the energy of a solutions to this equation is monotone decreasing in time. This is perhaps unsurprising, as one would expect energy to ‘fall through’ the black hole horizon. The result is not, however, inconsistent with the energy approaching a constant, non-zero value at late times. To rule this possibility out, we proved an integrated local decay estimate. This implies that the energy inside any finite spatial volume cannot approach a non-zero value at late times. Finally, by making use of the staticity of the black holes we were able to show that the total energy of the field decays like an inverse power of the time.
One might ask whether this decay rate could be improved. Perhaps fields in fact decay exponentially? We were able to show that the ‘best possible’ decay one can hope for does not hold, by using the method of Gaussian beams. Gaussian beams are a clever construction which allow us to find solutions of a wave or Klein-Gordon equation which are very highly localised along a null geodesic. When a spacetime has trapped null geodesics (which neither escape to infinity nor to a black hole horizon) this allows us to create very long-lived solutions. In our case, we do not have trapping: all null geodesics eventually enter the black hole. On the other hand, we can find null geodesics which take a very long time to reach the horizon, and by constructing Gaussian beams on these, we can disprove some plausible (albeit optimistic!) decay statements. If you want to find out more about these results and some of the interesting mathematics used to prove them then check out our paper ‘The Klein-Gordon equation on the Toric AdS-Schwarzschild Black Hole’ in Classical and Quantum Gravity!
Read the full article for free* in Classical and Quantum Gravity:
The Klein-Gordon equation on the toric AdS-Schwarzchild black hole
Jake Dunn and Claude Warnick 2016 Class. Quantum Grav. 33 125010
arXiv:1507.07367
*until 10 September 2016
Sign up to follow CQG+ by entering your email address in the ‘follow’ box at the foot of this page for instant notification of new entries.
CQG papers are selected for promotion based on the content of the referee reports. The papers you read about on CQG+ have been rated ‘high quality’ by your peers.
This work is licensed under a Creative Commons Attribution 3.0 Unported License.
You must be logged in to post a comment.