
Patricia Schmidt is a Postdoctoral Scholar in TAPIR at Caltech
What was the most interesting thing that happened during your PhD?
The most interesting thing was that literally every day, you would do something new. Even looking at the same set of equations again and again you would get new ideas and new insights.
Were there any big surprises?
The biggest surprise was that it actually worked out! We didn’t have a path set out to reach this result when we started, so who would have thought when Mark and I set out that we would actually have exactly the result we wanted 3 years later?
You mentioned your PhD supervisor, Mark Hannam. What was it like to work with the famously cynical physics blogger behind The Fictional Aether?
There was no cynicism in our everyday work. Mark was always very encouraging and trusted me with a lot of freedom. He was also very supportive in promoting my work at conferences.
What was the result that you were most proud of in your thesis work?
I am proud that we found a general framework for modelling precessing waveforms from black hole binaries by identifying that the inspiral dynamics and true precessional motion decouple approximately up to the merger of the black holes.
Where can we find your thesis?
The thesis is available at ORCA, Cardiff University’s institutional repository.
There is also a summary of the thesis work on p24 of the IOP Gravitational Physics Group’s February Newsletter.

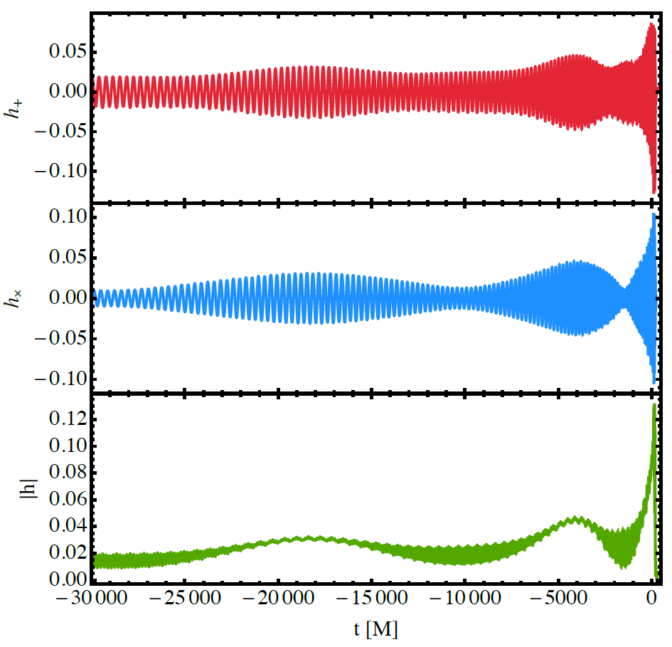
The top two panels show the ‘plus’ and ‘cross’ polarisation of the gravitational-wave signal from a precession black hole binary of mass ratio q=2 with initial dimensionless spins and
for a particular binary orientation. The third panel shows the magnitude of the signal. The strong oscillations typical for precession are clearly visible.
What did you enjoy most about life in Cardiff?
The Welsh hospitality and their fantastic food. Also, Rugby! The Welsh are very passionate about rugby and I loved going to the stadium and joining in with the enthusiasm at a game. Wales is a beautiful country, the Brecon Beacons, the Gower peninsula. Hiking up mount Snowdon was truly fantastic.
You are at Caltech now working with Christian Ott, Mark Scheel and Alan Weinstein. Can you tell me a bit about what you are working on right now?
I am doing a little bit of gravitational wave data analysis, but my main focus is on using numerical relativity waveforms in LIGO data analysis to assess the search sensitivity when merger and ringdown are included, in particular for precessing binaries. We can obtain many interesting insights: which parts of the binary parameter space do we need more information on? Which information do we need to incorporate into waveform models etc.
Apart from the research, I have taken on the role as the coordinator of the Caltech Gravitational Wave Astrophysics School 2015 (CGWAS) held here in July, which is a great opportunity to develop leadership skills.
What advice would you give to graduate students working in gravitational physics?
If you want to do a PhD, do it. Follow your passion, but be aware of how tough the academic job market is afterwards. At the end of the day, only a small percentage of PhDs end up in academia.
Looking back, I don’t have any regrets about doing my PhD. I always wanted to live in the UK. It was a big step to leave the nest and move to a new country, but also a wonderful opportunity that allowed me to experience a new culture and grow as a person. Also, Wales has a dragon on its flag!
Message from the Editor-in-Chief

Clifford Will is the Editor-in-Chief of Classical and Quantum Gravity, Distinguished Professor of Physics at the University of Florida, Chercheur Associé at the Institut d’Astrophysique de Paris, and James McDonnell Professor of Space Sciences Emeritus at Washington University in St. Louis.
It’s wonderful to see the thesis prize, co-sponsored by Classical and Quantum Gravity, awarded to such a deserving recipient. Dr Schmidt’s thesis constitutes a substantial contribution to the study of gravitational wave emission from inspiralling compact binary systems. The judging panel was very impressed, not only with the scientific content, but also with the excellent presentation on the importance of precession in black hole binaries and its relevance to gravitational astronomy.
The IOP Gravitational Physics Group (GPG) thesis prize has been co-sponsored by CQG for a number of years. Full details of the prize can be found on the GPG website and past winners of the prize include:
§ Dr Anna Heffernan (University College Dublin). The self-force problem: local behaviour of the Detweiler-Whiting singular field
§ Dr Cesar Simon Lopez-Monsalvo (University of Southampton). Covariant thermodynamics and relativity
§ Dr John Miller (University of Glasgow). On non-Gaussian beams and optomechanical parametric instabilities in interferometric gravitational wave detectors
§ Dr Barry Wardell (University College Dublin). Green functions and radiation reaction from a spacetime perspective
§ Dr Emanuele Rocco (Birmingham). Development of a test of Newton’s Law of Gravitation at micrometre distances using a Superconducting Spherical Torsion Balance
§ Dr Julian Sonner (Cambridge). Aspects of Classical and Quantum Brane Dynamics

This work is licensed under a Creative Commons Attribution 3.0 Unported License.
You must be logged in to post a comment.